欢迎来到莒南县人民政府门户网站
打印莒南交政字〔2021〕5号
县各有关单位:
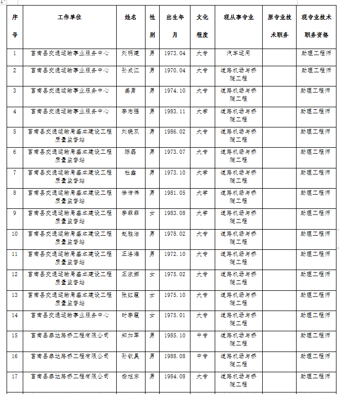
根据临交政字[2020]100号文件通知,刘明建等33名同志申报的交通工程初级职务任职资格,已经市交通工程技术职务资格中级评审委员会2020年12月2日评审通过,公示无异议,经县人力资源和社会保障局审核同意,现予以公布,其专业技术职务资格有效期自公布之日(2020年12月24日)起生效。
附件:2020年度交通工程系列初级通过人员名单(共33人)
莒南县交通运输局 莒南县人力资源和社会保障局
2021年3月2日
(此件公开发布)
附件
2020年度交通工程系列初级通过人员名单(共33人)

